Bei der Dichtheitsprüfung mit druckmessenden Verfahren hat die Temperatur des Prüfmediums Luft erheblichen Einfluss auf das Messergebnis. Diese wird im Wesentlichen, außer von der Temperatur der Luftaufbereitung, von der Temperatur des Prüflings und der Umgebungstemperatur beeinflusst.
Der Prüfablauf besteht in der Regel aus 4 Phasen: Füllen, Beruhigen, Prüfen und Leeren. Entscheidend ist die Temperaturänderung während der Prüfphase, also die Zeit in der die Druckänderung gemessen und bewertet wird.
Steigt die Temperatur der Luft im Prüfling während der Prüfphase z.B. durch einen warmen Prüfling, erhöht sich der Druck. Eine Druckminderung, die durch eine Leckage verursacht wird, kann dadurch unter Umständen ausgeglichen werden, wodurch ein undichtes Teil als „dicht“ bewertet werden könnte.
Sinkt die Temperatur der Luft im Prüfling während der Prüfphase z.B. durch kalte Zugluft, wird der Druck kleiner. Eine Druckminderung durch eine Leckage kann dadurch so sehr vergrößert werden, dass ein eigentlich dichtes Teil als „undicht“ bewertet wird.
Wie groß der Einfluss der Temperatur auf das Messergebnis ist, soll anhand nachfolgender Prüfparameter beispielhaft erläutert werden.
Prüfdruck: | p = 2000 mbar abs. (entspr. 1000 mbar Überdruck) |
Prüflingsvolumen: | V = 110 cm³ |
Zulässige Leckrate: | Q = 0,5 cm³/min |
Prüfzeit: | 5 sec |
Prüfluft-Temperatur: | t = 23°C |
Die Druckänderung ∆pL aufgrund einer Leckage wird in Annäherung nach folgender Formel berechnet:
In unserem Beispiel:
bei einer Prüfzeit von 5 sec:
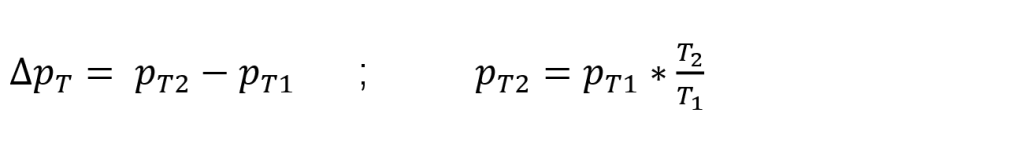
Die Druckänderung ∆pT aufgrund einer Temperaturänderung wird in Annäherung nach folgender Formel berechnet:
Bei einer Temperaturerhöhung um 0,1°C während der Prüfzeit von 5 sec ergibt sich demnach in unserem Beispiel folgende Berechnung:
Ergebnis:
In unserem Beispiel würde der Prüfdruck um 0,3 mbar ansteigen, obwohl ein Leck von 0,5 cm³/min vorhanden ist.
Üblicherweise wird diesem Effekt durch eine vorgeschaltete Beruhigungsphase entgegengewirkt. Die Beruhigungszeit muss so gewählt werden, dass ein Temperaturausgleich zwischen Prüfling und Prüfluft erreicht wird. Eine Temperaturänderung während der anschließenden Prüfphase kann auf diese Weise sehr gering gehalten werden. Außerdem kann die Prüfzeit selbst verlängert werden, um einen größeren Druckabfall zu erzielen.

